2025年yl23411永利官网登录物理学调剂复试名单

来源:yl23411永利官网登录   点击次数:  发布时间:2025-04-08

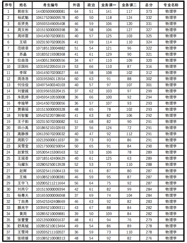
根据《yl23411永利官网登录2025年硕士研究生招生复试录取工作实施细则》中物理学调剂的基本要求,及复试比例1:1.8的差额,按照初试总分由高到低的原则,复试面试名单如下: